Synthetic Division College Algebra
Synthetic Division College Algebra
Synthetic Division College Algebra – These worksheets can be made use of to split any type of amount, including money. Some of the worksheets are customizable, permitting customers to type their very own titles and also save generated files for use later.
What are Long Division Worksheets?
Long division worksheets are a fantastic tool for examining student understanding and also method. By offering trainees technique as well as reinforcement, these worksheets strengthen the abilities they need to be effective with the subject.
Worksheets aid pupils recognize a lesson as well as help them see where they might have trouble. They can likewise be interactive, full of mnemonic gadgets as well as valuable suggestions. One worksheet is a game developed by Meg at the She Teacher Studio that obtains pupils moving while addressing formulas.
What is the Point of Learning Long Division?
For a trainee to comprehend long division, they must initially discover just how to execute each step. The most typical error trainees make when fixing long division problems is not straightening location worths correctly.
Understanding long division is a milestone in grade school, as well as it takes psychological muscular tissue to complete it. The problem of this job is intensified by the truth that students are instructed it at different quality levels. The 4th grade is specifically tough, since the principle comes right after mastering multiplication fluency.
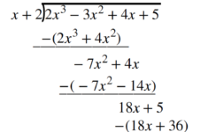
Dividing Polynomials Long Division Worksheet With Answers
Dividing Polynomials Worksheet Answers Luxury Unbelievable Use Long
Quiz Worksheet Polynomial Long Division Study
Dividing Polynomials Long Division Worksheet With Answers
Dividing Polynomials Long Division Worksheet With Answers are a fantastic method to instruct kids regarding the concept of long division. These worksheets are designed for students of any ages, and also can be downloaded for personal or classroom usage. A number of these worksheets can be personalized to suit the demands of each student. They are simple and adaptable to use, and are a terrific resource for preschool, initially, and also second graders.
Trainees can pick in between long division worksheets in image format, as well as can personalize them to match their understanding design. Long division worksheets can be developed with remainders on separate pages.
Dividing Polynomials Long Division Worksheet With Answers additionally offer practice troubles that allow trainees to apply their new abilities. These worksheets can be used throughout tiny group time, individually, or with educator advice. They can additionally be utilized for RTI or treatment programs, as well as they are excellent research tasks. Students can exercise their long division abilities by constructing mathematics puzzles that include different formulas and also rests. By using worksheets, pupils can strengthen their skills while obtaining a running start on the remainder of their education.



