Synthetic Division College Algebra
Synthetic Division College Algebra
Synthetic Division College Algebra – These worksheets can be utilized to split any type of amount, consisting of money. Some of the worksheets are customizable, enabling individuals to type their own titles and conserve generated data for usage later on.
What are Long Division Worksheets?
Long division worksheets are a terrific tool for evaluating student understanding and also practice. By giving trainees method and also reinforcement, these worksheets strengthen the skills they require to be successful with the topic. They assist trainees prepare for higher degree math. Plus, they aid teachers analyze their training approaches. Below are some points to consider if you’re believing concerning getting some worksheets for your class.
Worksheets aid students recognize a lesson and help them see where they may have difficulty. They can also be interactive, filled with helpful ideas and also mnemonic devices. One worksheet is a game established by Meg at the She Teacher Studio that obtains students moving while solving equations.
What is the Point of Learning Long Division?
For a pupil to understand long division, they should first discover just how to carry out each action. They can exercise by fixing word issues. One of the most usual error pupils make when solving long division problems is not lining up location worths correctly. This is an indicator that they need to evaluate the principles of place worth. The last action in discovering long division is practicing it, so instructors must do it together on the white boards and slowly eliminate aid.
Learning long division is a landmark in elementary school, and it takes mental muscular tissue to complete it. The trouble of this job is worsened by the fact that students are educated it at various grade levels. The fourth quality is particularly difficult, because the principle comes right after mastering reproduction fluency.
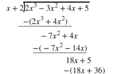
Long Division Of Polynomials Worksheet With Answers
Polynomial Long Division Worksheet Worksheet Division Of Db excel
Quiz Worksheet Polynomial Long Division Study
Dividing Polynomials Worksheet Answers Luxury Unbelievable Use Long
Long Division Of Polynomials Worksheet With Answers
Long Division Of Polynomials Worksheet With Answers are an excellent method to educate children about the idea of long division. These worksheets are created for students of all ages, as well as can be downloaded for individual or classroom usage.
Trainees can select in between long division worksheets in image format, as well as can tailor them to suit their discovering style. Long division worksheets can be created with rests on separate web pages. These worksheets are precise as well as one-of-a-kind, as well as will include the response trick. Each worksheet includes nine or twelve problems.
Long Division Of Polynomials Worksheet With Answers additionally provide practice issues that allow trainees to apply their new abilities. These worksheets can be made use of throughout little group time, individually, or with educator support. They can additionally be made use of for RTI or intervention programs, as well as they are terrific homework activities. Students can practice their long division skills by putting together math challenges that feature different formulas and remainders. By utilizing worksheets, students can enhance their abilities while obtaining a running start on the rest of their education and learning.


