Synthetic Division College Algebra
Synthetic Division College Algebra
Synthetic Division College Algebra – These worksheets can be made use of to divide any type of amount, including money. Some of the worksheets are personalized, allowing individuals to kind their very own titles and conserve generated files for use later.
What are Long Division Worksheets?
Long division worksheets are a terrific tool for analyzing student understanding and practice. By giving pupils practice and also support, these worksheets reinforce the skills they need to be successful with the topic.
Worksheets help pupils understand a lesson and also help them see where they might have trouble. They can additionally be interactive, filled with mnemonic devices as well as helpful pointers. One worksheet is a game established by Meg at the She Teacher Studio that gets students relocating while resolving formulas.
What is the Point of Learning Long Division?
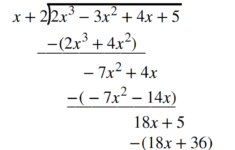
For a student to understand long division, they need to initially discover exactly how to execute each step. The most common mistake trainees make when solving long division problems is not straightening area worths correctly.
Knowing long division is a landmark in elementary school, and also it takes mental muscle mass to complete it. The difficulty of this task is compounded by the reality that pupils are educated it at various quality levels. The 4th grade is particularly tough, because the principle comes right after grasping multiplication fluency.
Polynomial Long Division Worksheet Algebra 2
Polynomial Long Division In Algebra 2 Teaching Algebra Polynomials
Dividing Polynomials Worksheet Answers Luxury Unbelievable Use Long
Polynomial Long Division Worksheet Algebra 2
Polynomial Long Division Worksheet Algebra 2 are an excellent means to teach kids regarding the idea of long division. These worksheets are developed for trainees of any ages, and can be downloaded for individual or classroom usage. A lot of these worksheets can be personalized to match the needs of each student. They are very easy and versatile to use, and are an excellent source for preschool, first, and 2nd graders.
Trainees can choose in between long division worksheets in image format, and also can personalize them to fit their knowing design. For instance, long division worksheets can be produced with remainders on different pages. These worksheets are special as well as precise, as well as will certainly include the response key. Each worksheet includes nine or twelve issues.
Polynomial Long Division Worksheet Algebra 2 also use practice troubles that enable pupils to use their brand-new abilities. By making use of worksheets, trainees can enhance their abilities while obtaining a head begin on the remainder of their education.



