Dividing Polynomials Precalculus
Dividing Polynomials Precalculus
Dividing Polynomials Precalculus – Long Division is a procedure utilized to divide quantities using double-digit divisors. These worksheets can be made use of to separate any kind of quantity, consisting of money. They are and consist of task cards for a variety of issues. Several of the worksheets are customizable, allowing users to type their very own titles as well as conserve generated declare use later.
What are Long Division Worksheets?
Long division worksheets are a remarkable tool for evaluating pupil understanding as well as method. By offering pupils method as well as reinforcement, these worksheets reinforce the abilities they require to be effective with the topic.
Worksheets aid pupils comprehend a lesson and also help them see where they might have problem. They can likewise be interactive, filled with useful pointers and mnemonic gadgets. One worksheet is a game established by Meg at the She Teacher Studio that obtains students relocating while resolving equations.
What is the Point of Learning Long Division?
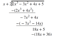
For a student to understand long division, they ought to first learn exactly how to do each step. Then, they can practice by fixing word issues. One of the most usual mistake students make when solving long division issues is not straightening area worths appropriately. This is an indicator that they need to review the principles of location worth. The final action in finding out long division is exercising it, so instructors need to do it together on the whiteboard and slowly remove help.
Discovering long division is a turning point in grade school, and also it takes mental muscle mass to finish it. The problem of this job is worsened by the fact that trainees are instructed it at various quality levels. The fourth grade is particularly challenging, due to the fact that the idea comes right after grasping multiplication fluency.
Worksheet Long Division Of Polynomials A 5 4 Answers
Dividing Polynomials Precalculus
Worksheet Long Division Of Polynomials A 5 4 Answers
Worksheet Long Division Of Polynomials A 5 4 Answers are a wonderful means to instruct children about the idea of long division. These worksheets are created for pupils of all ages, and can be downloaded for individual or class use. A lot of these worksheets can be customized to match the demands of each student. They are flexible as well as very easy to use, as well as are a great resource for kindergarten, initially, as well as second .
Students can select in between long division worksheets in image format, and also can tailor them to suit their understanding style. Long division worksheets can be produced with remainders on different pages. These worksheets are one-of-a-kind and also accurate, as well as will include the solution key. Each worksheet consists of nine or twelve issues.
Worksheet Long Division Of Polynomials A 5 4 Answers also provide technique problems that allow students to use their brand-new abilities. These worksheets can be utilized during little team time, separately, or with educator assistance. They can additionally be used for RTI or intervention programs, and they are terrific research activities. Pupils can exercise their long division skills by putting together mathematics problems that include different equations and also rests. By utilizing worksheets, trainees can strengthen their abilities while getting a head start on the remainder of their education.


